Borang Spa 1 Pdf





Borangspa1

Borangspa1

Dybwad T E 2009 Career Maturity A Latent Means And Covariance Structure Course Hero

Dybwad T E 2009 Career Maturity A Latent Means And Covariance Structure Course Hero

Borangspa1 Pages 1 4 Text Version Anyflip

Borangspa1 Pages 1 4 Text Version Anyflip

Borang Spa1 Boleh Dimuat Turun Melalui Pejabat Suruhanjaya Perkhidmatan Awam Brunei Facebook

Borang Spa1 Boleh Dimuat Turun Melalui Pejabat Suruhanjaya Perkhidmatan Awam Brunei Facebook

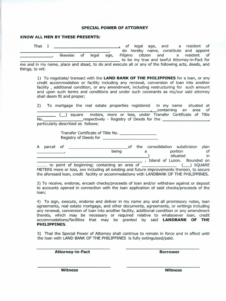
Spa Format Landbank 1 Pdf

Spa Format Landbank 1 Pdf

Borang Spa 1 Brunei Download

Borang Spa 1 Brunei Download

Borang Spa 1 Brunei Download

Sila pastikan bahawa setiap jawatan yang dipohonkan hendaklah.

Borang spa 1 pdf. Garis panduan mengenai tatacara memohon kelulusan teknikal projek ict. 1 2013 borang permohonan pemeriksaan perubatan untuk pelantikan ke dalam perkhidmatan awam pemohon hendaklah mengisi maklumat di bahagian a b dan dan menyerahkan borang ini c berserta surat tawaran pelantikan kepada pengamal perubatan berdaftar sebelum pemeriksaan perubatan dibuat. Latar belakang dan objektif. Paper document information test flyer png clipart area document.

Please read the following instructions carefully. Borang spa 1 download online commercial lease application form template jotform. Untuk tujuan pemeriksaan pemohon hendaklah membawa mata jika pernah memakainya dan laporan kaca. Percuma spa 1 pindaan 1 98 sabah malaysia permohonan jawatan di dalam perkhidmatan awam negeri sabah isikan mengikut pilihan utama jika anda memohon lebih dari satu jawatan untuk dipertimbangkan.

Kandungan garis panduan 3. Download borang spa 8 pdf dangesub. Bahagian pengurusan dan kewangan. Darussalam application to join the government service of brunei darussalam 2.

Borang ini boleh didapati dengan percuma dari pejabat suruhanjaya perkhidmatan awam negeri dan pejabat pejabat daerah. Local back massage with an automated massage chair general muscle. Borang spa pn 1 2012 permohonan untuk mengisi kekosongan jawatan pegawai peperiksaan gred 44 terbuka secara pertukaran sementara di suruhanjaya perkhidmatan awam malaysia. Borang spam bilangan kad pintar smart card number permohonan untuk berkhidmat dengan kerajaan negara brunei.

Sila baca arahan di bawah dengan teliti. Surat pekeliling am bilangan 1 tahun 2009 jabatan perdana menteri malaysia kompleks jabatan perdana menteri pusat pentadbiran kerajaan persekutuan 62502 putrajaya telefon. View borang spa 1 pindaan 198 pdf from aa 1percuma spa 1 pindaan 1 98 sabah malaysia permohonan jawatan di dalam perkhidmatan awam negeri sabah calon calon yang tidak mengisi maklumat dengan. 911 address application form template jotform.

Spa Format Landbank 1 Pdf

Spa Format Landbank 1 Pdf

Borang Spa 1 Pindaan 1 98

Borang Spa 1 Pindaan 1 98

Borang Spa1 Boleh Dimuat Turun Melalui Pejabat Suruhanjaya Perkhidmatan Awam Brunei Facebook

Borang Spa1 Boleh Dimuat Turun Melalui Pejabat Suruhanjaya Perkhidmatan Awam Brunei Facebook

Borang F Pages 1 50 Flip Pdf Download Fliphtml5

Borang F Pages 1 50 Flip Pdf Download Fliphtml5

Spa Format Landbank 1 Pdf

Spa Format Landbank 1 Pdf

Cara Mengisi Borang Spa 1 Brunei

Cara Mengisi Borang Spa 1 Brunei

Special Power Of Attorney Bir Power Of Attorney Private Law

Special Power Of Attorney Bir Power Of Attorney Private Law

Spa Form Fill Online Printable Fillable Blank Pdffiller

Spa Form Fill Online Printable Fillable Blank Pdffiller

Seksyen 346 Kanun Tanah Negara Fill Online Printable Fillable Blank Pdffiller

Seksyen 346 Kanun Tanah Negara Fill Online Printable Fillable Blank Pdffiller

Borang Spa 1 Brunei Download

Borang Spa 1 Brunei Download

Professional Regulation Commission Identity Document Government Information

Professional Regulation Commission Identity Document Government Information

Pdf The Impact Of The Servicescape On The Desire To Stay In Convention And Exhibition Centers The Case Of Macao

Pdf The Impact Of The Servicescape On The Desire To Stay In Convention And Exhibition Centers The Case Of Macao

Pdf Attitudes And Behaviours Regarding Use Of Crop Protection Products A Survey Of More Than 8500 Smallholders In 26 Countries

Pdf Attitudes And Behaviours Regarding Use Of Crop Protection Products A Survey Of More Than 8500 Smallholders In 26 Countries

Source : pinterest.com